THE GAGOSZ LAB
Designing new catalytic methods with a predilection
for late-transition metal and gold catalysis
SYNTHESIS & CATALYSIS
Explore the chemistry we study by following the link below
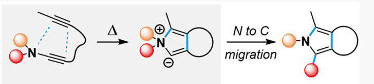
SOME OF OUR RECENT WORK
CONNECT WITH US
Designing new catalytic methods with a predilection
for late-transition metal and gold catalysis
Explore the chemistry we study by following the link below
SOME OF OUR RECENT WORK